Factorización de un polinomio con un factor común

Resumen:

En el presente ensayo se evidencia que en la Enseñanza-Aprendizaje el tema de Factorización se desarrolle de una manera sistematizada y con sentido para  nuestros lectores considerando los criterios de divisibilidad que en el caso particular para la factorización de un polinomio  con un factor común sin olvidar la parte literal. Por lo general en los textos de hoy en día lo consideran por hecho de que los  alumnos de Educación Media superior ya lo saben.

El tema de factorización: promueve el desarrollo de habilidades cognitivas, fomenta el razonamiento matemático para que los educandos logren resolver problemas aplicables a la vida real, motiva el aprendizaje de los estudiantes al utilizar el material y recursos didácticos, impulsando el desarrollo de las competencias matemáticas.

 

Palabras clave: Factorización, factor común, números primos, criterios de divisibilidad y propiedad distributiva.

Abstract

In the present study shows that in teaching the subject of factoring is developed systematically and with respect for our readers to consider divisibility criteria in the particular case of the factorization of a polynomial with not to mention common factor the literal. Usually, in the writings of today is seen by the fact that the upper secondary school students already know.

The theme for the factoring: promotes the development of cognitive skills, stimulate mathematical reasoning to help students achieve applicable to real-life problems and motivates students to learn to use resources and teaching materials, promoting the development math skills.

 

Keywords: factoring, common factor, prime numbers, divisibility and distributive property criteria.

Introduction:

Una de las principales áreas que conforman a la Educación Media Superior son las Matemáticas, siendo desde los tiempos más antiguos la base del desarrollo cognitivo y de razonamiento de los individuos. Las matemáticas forman parte del quehacer humano, práctico, que nos permite resolver problemas de una manera efectiva. Así pues, en la Educación, las matemáticas son la parte medular para la construcción de conocimientos y resolución de problemas aplicables a la vida diaria.

En el presente ensayo, los objetivos que se pretende lograr es lo conceptual, lo procedimental y actitudinales que se desean alcanzar son: Diseñar e Implementar "Una Estrategia Alternativa para la Enseñanza-Aprendizaje del tema de Factorización en alumnos de Educación media superior caso particular un polinomio con un factor común”.

De forma particular este este ensayo tiene la finalidad de dar pauta a un panorama no disto sobre la importancia que tiene en bachillerato la enseñanza de las matemáticas y la motivación que guarda en el aprendizaje de los alumnos, y en este sentido se da a conocer una diversa gama de técnicas didácticas para la enseñanza de las Matemáticas que son viables y significativas para el aprendizaje de los educandos en el tema de factorización.

Development

¿Qué es factorizar?

Es descomponer un número en factores primos es expresar el número como un producto de números primos.

Con respecto a las cantidades o mejor dicho con los coeficientes de los términos ya sea de uno o más deberemos de considerar como primer aspecto importante la: a) Descomposición de un número en sus factores primos y b) Parte literal.

  • Descomposición de un número en sus factores primos

Para factorizar un número o descomponerlo en factores deberemos considerar la división cuantas veces se requiera toma en cuenta los criterios de divisibilidad para facilitarnos esta tarea:

Los más ocupados por citar en el nivel medio superior son:

Un número es divisible por 2 cuando es par o termina en 0, 2, 4, 6, ó 8.

Un número es divisible por 3 cuando la suma de sus dígitos es múltiplo de 3.

Un número es divisible por 4 cuando sus dos últimos dígitos son ceros o forman un múltiplo de 4.

Un número es divisible por 5 cuando terminan en 0 ó en 5.

Un número es divisible por 6 cuando es divisible por 2 y 3 a la vez.

Un número es divisible por 7 cuando separando la primera cifra de la derecha, multiplicándola por 2, restando este producto de lo que queda a la izquierda y así sucesivamente, da cero o múltiplo de 7.

Un número es divisible por 8 cuando sus tres últimos dígitos son ceros o forman un múltiplo de 8.

Un número es divisible por 9 cuando la suma de sus dígitos es un múltiplo de 9.

Un número es divisible por 10 cuando termina en 0.

Un número es divisible por 11 cuando la diferencia entre la suma de los valores absolutos de sus cifras de lugar impar y la suma de los valores absolutos de sus cifras de lugar par, de derecha a izquierda, es cero o múltiplo de 11.

Un número es divisible por 13 cuando separando la primera cifra de la derecha, multiplicándola por 9, restando este producto de lo que queda a la izquierda y así sucesivamente, da cero o múltiplo de 13.

Un número es divisible por 17 cuando separando la primera cifra de la derecha, multiplicándola por 5, restando este producto de lo que queda a la izquierda y así sucesivamente, da cero o múltiplo de 17.

Un número es divisible por 19 cuando separando la primera cifra de la derecha, multiplicándola por 17, restando este producto de lo que queda a la izquierda y así sucesivamente, da cero o múltiplo de19.

Un número es divisible por 25 cuando sus dos últimas cifras son ceros o forman un múltiplo de 25.

Un número es divisible por 125 cuando sus tres últimas cifras son ceros o forman un múltiplo de 125.

Por considerar la siguiente cantidad 10101, aplicando los criterios de divisibilidad es dividido entre tres por que la suma de estos dígitos es tres  1+0+1+0+1 = 3.

Para factorizar un número o descomponer en factores efectuaremos sucesivas divisiones entre sus factores primos hasta obtener un uno como cociente.

Para realizar las divisiones utilizaremos una barra vertical, a la derecha escribimos los divisores primos y a la izquierda los cocientes.

 

432 2
216 2
108 2
54 2
27 3
9 3
3 3
1  

 

Como podemos observar la cantidad 432 termina en dos y según el criterio de divisibilidad que los números que terminen en 0,2,4,6, o en 8 son divisibles entre dos. En este caso también el 216, 108 y 54 son divisibles entre 2. El 27 es divisible entre 3 ya que el número es divisible por 3 cuando la suma de sus dígitos es múltiplo de 3. Si sumamos 2+7 = 9 y nueve es múltiplo de 3. En este número en particular tuvo cuatro mitades y tres terceras.

Con la descomposición de una sola cantidad o de un número no se alcanza el objetivo de obtener el máximo común divisor por lo tanto consideremos los siguientes números: 42 y 48. La pregunta sería ¿Cuál es el máximo común divisor? Descomponer en sus factores primos ambos números considerando los criterios:

 

8 ,  24 2
4 ,  12 2
2 ,   6 2
1,    3 3
      1  
   
   
   

 

Los números que están de color rojo son los que son comunes en ambas cantidades y por lo tanto si multiplicas estos tres factores primos obtendremos  el máximo común divisor 2 x 2 x 2 =  8.

  • Parte Literal

Con respecto a las literales es de lo más sencillo que puedes considerar se toman en cuenta todas las letras que se repitan es decir deberán estar en cada termino que conforme el polinomio y toma en cuenta la o las variables comunes de menor grado. Por ejemplo: x2y, xy3 ambas literales son comunes ya que están en ambos términos, el máximo común divisor es: x y.

Ahora considera ambos casos tanto los números como la parte literal y calculemos el máximo común divisor: de 8 x2y , 24xy3 es: 8xy.

Ahora considera el siguiente polinomio y factoriza: 8 x2y+24 xy3

 

Recordemos que para este caso de factorización requerimos de la ley de signos, ley de los exponentes, de los coeficientes, máximo común divisor, la propiedad distributiva y el factor común para llevar a cabo la conversión de una suma con respecto al producto.

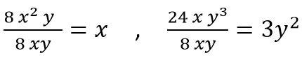
Para este polinomio 8 x2 y+24 xy3 su factor común es 8 xy y consideremos la división para cada uno de sus términos que lo conforman

 

 

una vez realizada las divisiones consideremos la propiedad distributiva para expresar el resultado en sus factores quedando: 8 x2 y+24 xy3= 8 xy (x + 3y2 ).

Conclusion

La factorización es uno de los temas más abstractos pero si consideramos lo siguiente para abolir este paradigma te sugiero que pongas en práctica: utilizar esta estrategia-aprendizaje. Recuerda que uno de los casos más utilizados es este un polinomio con un factor común y siempre deberemos de iniciar por este y tomando en cuenta los criterios de divisibilidad, el factor común y la propiedad distributiva.  

Bibliografía:

Matemáticas I (aritmética y álgebra) Patricia Ibáñez Carrasco, Gerardo García Torres Grupo editorial: Thomson

Álgebra para preuniversitarios Rodolfo Alvarado García Grupo editorial: Esfinge

 

[a] Teacher at Escuela Preparatoria No. 4