Gráfica de las funciones trigonométricas

Summary

El alumno reconocerá los diferentes valores y propiedades de las funciones trigonométricas de ángulos de cualquier valor. Así como interpretar el comportamiento tendencial de las funciones trigonométricas.


Palabras clave: Seno, Coseno, Tangente, Cotangente, Secante, Cosecante.

Abstract

Recognize the different values and properties trigonometric functions of angles of any value. Interpret the behavior and trend of trigonometric functions.


Keywords: Seno, Coseno, Tangente, Cotangente, Secante, Cosecante

Definición de círculo trigonométrico

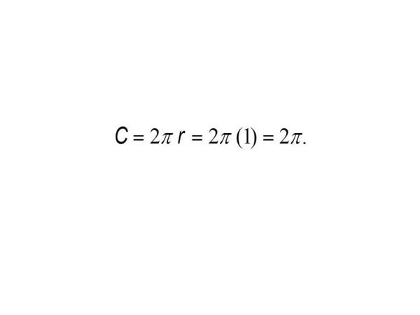
El círculo unitario es un círculo de radio 1 con centro en el origen del sistema de coordenadas, esto es, el punto (0,0)

Cada número real de la recta numérica se asocia con las coordenadas de un punto en el círculo unitario llamado punto circular. Para eso, luego, localizamos el 0 en la recta numérica de manera que coincida con el punto (1, 0) en la unidad del círculo.

Como el radio del círculo unitario es 1, entonces la circunferencia del círculo es, entonces,  el eje real positivo se enrolla en sentido contrario a las manecillas del reloj y el eje real negativo se enrolla en el sentido de las manecillas del reloj.  De manera, que cada número real de la recta real se asocia con un sólo punto circular del círculo unitario.

 

 

 

 

 

 

 

 

Funciones de ángulos de cualquier magnitud

 

 

Variación y gráficas de las funciones trigonométricas (seno, coseno, tangente, cotangente, secante y cosecante)

Las funciones trigonométricas de un triángulo rectángulo son las razones o relaciones entre sus lados.

Las funciones trigonométricas son algunas aplicaciones que nos ayudan en la resolución de triángulos rectángulos
Un triángulo tiene seis elementos: tres lados y tres ángulos. Resolver un triángulo consiste en calcular tres de los elementos cuando se conocen los otros tres, siempre que uno de ellos sea un lado.

 

 

Gráficas de las funciones trigonométricas

Si queremos representar en forma gráfica una función trigonométrica tomamos los valores de la variable independiente como abscisas y los valores de la función como ordenadas, obteniendo así una serie de puntos, los que al unirlos nos dará una línea que será la representación gráfica de la función.

Uso de la función seno: ésta se usa cuando en un triángulo rectángulo se conoce un ángulo agudo y el cateto opuesto, o un ángulo agudo y la hipotenusa, o el cateto  opuesto al ángulo dado.

Uso de la función coseno: si en un triángulo rectángulo conocemos un ángulo agudo y el cateto adyacente, o un ángulo agudo y la hipotenusa.

Podemos calcular el cateto adyacente al ángulo dado y la hipotenusa usando esta función.

Uso de la función tangente: si en un triángulo rectángulo conocemos un cateto y el ángulo adyacente a él podemos calcular el otro cateto.

Uso de la función cotangente: por lo tanto en todo triángulo rectángulo si conocemos un cateto y su ángulo opuesto podemos calcular el valor del otro mediante ésta.

Uso de la función secante: ésta se usa cuando se tiene lo contrario que en la función coseno.

Uso de la función cosecante: ésta se usa cuando se tiene lo contrario a la función seno.

 

 

 

 

 

 

 

 

 

 

 

 

 

 

 

 

Bibliography

Básica

MARTÍNEZ JUÁREZ,  Sotero. Geometría y Trigonometría. Editorial: Bookmart. Primera Edición: Mayo 2012

Complementaria

SWOKOWSKI & COLL. Álgebra y Trigonometría con Geometría Analítica
Editorial Thomson
DOTTORI. Trigonometría. Editorial Mc-Graw Hill.
Recuperado de:
http://es.scribd.com/doc/125813901/geometria
http://recursostic.educacion.es/descartes/web/materiales_didacticos/Triangulos_tpy/index.htm
http://www.profesorenlinea.cl/geometria/Trigonometria_Razones.html

 

[a]Teacher Escuela Preparatoria No. 3