CINEMATICA

Summary

El estudio de la cinemática te permite aplicarla a tu entorno ya que vuelo de un insecto, los juegos mecánicos de la feria, el futbolista que patea la pelota, el salir de tu casa y caminar a la escuela realizas y observas los diferentes tipos de movimiento, en este apartado solo se ve el Movimiento rectilíneo y formulas para que puedas calcular velocidades y aceleraciones.



Palabras clave: Cinemática, Mecánica, Dinámica, Movimiento Horizontal, Velocidad, Rapides, Aceleración.

Abstract

The study of kinematics allows you to apply to your environment as flight of an insect, the rides at the fair, the player who kicks the ball going out of your house and walk to school and watch you perform different types of movement , this section only see the linear motion and formulas to help you calculate velocities and accelerations.



Keywords: Kinematics, dynamics, Horizontal movement, speed, Rapides, acceleration.

Cinemática es la parte de la mecánica que estudia los tipos de movimiento sin atender las causas que lo producen. La clasificación de la Cinemática es:

  1. Mecánica: rama de la física que estudia los movimientos y estados en que se encuentran los cuerpos
  2. Dinámica: estudia las causas que originan el movimiento de los cuerpos

MOVIMIENTO DE LOS CUERPOS

La trayectoria de una partícula, o sea, el camino recorrido al pasar de su posición inicial a su posición final, puede ser recta o curva, resultando así los movimientos rectilíneos y curvilíneos, mismos que pueden ser uniformes o variados, dependiendo de que la velocidad permanezca constante o no.

SISTEMAS DE REFERENCIA

Cuando un cuerpo se está moviendo decimos que su posición está cambiando con respecto a un punto considerado como fijo. Este sistema de referencia se conoce como absoluto.

MOVIMIENTO HORIZONTAL

Un cuerpo tiene movimiento cuando cambia su Posición a medida que transcurre el tiempo.

El movimiento de los cuerpos puede ser de una dimensión o sobre un eje, ejemplo: el desplazamiento en línea recta de un tren o un automóvil; en dos dimensiones o sobre un plano como el movimiento de la rueda de la fortuna o el de un proyectil cuya trayectoria es curva; en tres dimensiones o en el espacio como el vuelo de un insecto.

RAPIDEZ

Es una cantidad escalar que únicamente indica la magnitud de la velocidad y no específica la dirección del movimiento.

VELOCIDAD

Es una magnitud vectorial que para estar bien definida requiere además de su magnitud, origen, dirección y sentido.

MOVIMIENTO RECTILINEO UNIFORMEMENTE VARIADO ( M.R.U.V.)

Es cuando un móvil sigue una trayectoria en línea recta, recorre distancias iguales en cada unidad de tiempo.

VELOCIDAD

Es la distancia recorrida por un móvil dividido entre el tiempo que tarda en



Donde:

v = velocidad del móvil en m/s

d = distancia recorrida en m

t = tiempo transcurrido en s

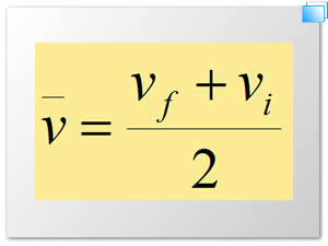
VELOCIDAD MEDIA



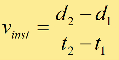
VELOCIDAD INSTANTANEA

Cuando en el movimiento de un cuerpo, los intervalos de tiempo considerados son cada vez más pequeños, la velocidad media se aproxima a una velocidad instantánea



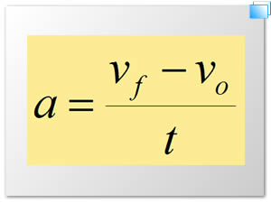
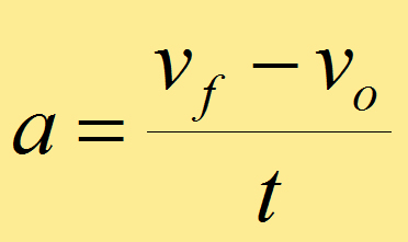
ACELERACION

Es la variación de la velocidad de un móvil en cada unidad de tiempo.




References

FÍSICA CONCEPTUAL. PAUL. G. HEWITT.- Addison Wesley. Tercera ed. 1999.

FÍSICA CONCEPTOS Y APLICACIONES. TIPPENS. Ed. McGraw- Hill.

FÍSICA. WILSON BUFFA. Pearson Prentice Hall. 5ta. Ed. 2003.

FÍSICA GENERAL. HÉCTOR PÉREZ MONTIEL Publicaciones Cultural. Segunda Ed. 2000.



[a] Profesor Investigador de la Universidad Autónoma del Estado de Hidalgo