Síntesis de polvos magnéticos (Fe, Cr, Al)-oxígeno a partir de desechos metálicos

Synthesis of magnetic powders (Fe, Fr, Al)-oxigen from metalic waste

Summary

En este trabajo de investigación se sintetizaron polvos de Fe(Cr, Al)2O4 , a partir de sobrantes de acero inoxidable y latas de aluminio por los métodos de disolución de metales, coprecipitación y calcinación, en una atmósfera en ausencia de aire, el composite obtenido en forma de polvo presentó un color café obscuro con propiedades magnéticas. La caracterización por DRX de polvos reveló la obtención de Fe(Cr, Al)2O4, en su estructura cristalina de tipo espinela.


Palabras clave: polvos magnéticos, disolución de metales, coprecipitación, difracción de rayos X, síntesis.

Abstract

In this research Fe(Cr , Al)2O4 powders were synthesized from stainless steel waste and aluminum can by metals dissolution of, co-precipitation and calcination, in an absence of air atmosphere, the obtained composite powder presented a dark brown color with magnetic properties. XRD powder characterization results revealed that Fe(Cr , Al)2O4 with a spinel crystal structure was obtained.


Keywords: magnetic powders, metals dissolution, co-precipitation, X-Ray diffraction, synthesis.

INTRODUCTION

La síntesis de materiales cerámicos ha adquirido una gran importancia principalmente por los óxidos que los componen, su estructura, estabilidad térmica y química, así como por su conductividad y dureza, pero sobre todo por su resistencia a la corrosión. Estos cerámicos pueden ser diseñados y modificados constantemente con tan solo cambiar la relación de composición de los materiales de partida. En la actualidad, debido a que se están agotando los yacimientos de algunos minerales, así como al incremento en el costo para su extracción y procesamiento, es que se ha optado por la elaboración de nuevos productos a partir de materiales de desecho, en este caso las limaduras de acero inoxidable y latas de aluminio. De este modo se le da un valor agregado importante a estos desechos y se reducen los costos de las materias primas y del proceso de purificación. La ciencia e ingeniería de los materiales ha tenido que innovar tomando en cuenta factores como el medio ambiente y la economía, para generar materiales con propiedades y características que satisfagan las necesidades de la población en la actualidad. La selección de un material que tenga potencial para ser fabricado con las propiedades necesarias y que posteriormente pueda ser convertido, de manera económica y segura en un producto útil, es un proceso que involucra el conocimiento de la relación estructura-propiedades-procesamiento (Palacios, 2004) Desde la mitad del siglo XX, se han producido 40 mil millones de toneladas de metales: aluminio, arsénico, cadmio, cromo, cobre, oro, plomo, mercurio, níquel y acero. Entre la amplia gama de materiales metálicos que se extraen para uso comercial, algunos son destacables como los aceros producidos a partir de mineral de hierro, son con diferencia los más importantes en términos de peso, ya que representan el 95 % del total, de la producción mundial de aceros y el 65% está comprendido solo por los aceros AISI SAE 304 y AISI SAE 316. México ocupa el 13° lugar en la producción mundial de hierro ya que produce 12 millones de toneladas de este mineral, y exporta 226 221 miles de pesos en este mineral principalmente a Hong Kong. Sin embargo en México no se produce acero inoxidable por lo que se tienen que importar y es por esto que es tan elevado su costo (Marulanda et al., 2013) En el caso del aluminio, que es obtenido de la bauxita, ocupa un distante segundo lugar, seguido por cantidades considerablemente más pequeñas de cobre y de zinc. Debido a que nuestro país carece de yacimientos de aluminio, debe ser importado, su principal proveedor es Venezuela, que anualmente exporta 2 115 708 miles de pesos (Global Aluminium Recycling: A Cornerstone of Sustainable Development). Las principales industrias generadoras de residuos metálicos son: la automotriz, electrodoméstica, aeronáutica, electricidad y electrónica. La Agencia de Protección Ambiental (EPA), de los Estados Unidos incluye a metales de interés toxicológico tales como el aluminio, cromo, entre otros (López & Ayala, 1995). En México se separa y recolecta más de 97% de las latas de aluminio que se usan en bebidas y otros consumibles. Sin embargo existe la presencia de metales en efluentes industriales, que exceden los límites permitidos por las leyes ambientales. Lo que contribuye a la contaminación de cuerpos de agua por vertido de efluentes líquidos sin tratamiento previo. Existe una amplia gama de metales con características tóxicas como son el cromo, el aluminio, el hierro, entre otros. (Loiacono et al., 2016) Es por esto que en el presente trabajo se sintetizaron polvos magnéticos a partir de desechos de la industria del acero inoxidable y de latas de aluminio. Los temas de reciclaje generalmente se enfocan al tratamiento de los desechos para obtener metales o aleaciones. Sin embargo haciendo una exhaustiva búsqueda, no se han encontrado referencias bibliográficas de la producción de polvos cerámicos a partir de metales de desecho, por esta razón en este trabajo de investigación se sintetiza por primera vez polvos cerámicos magnéticos empleando el método de disolución de metales y su coprecipitación para la obtención de un polvo cerámico magnético.

MATERIALES Y MÉTODOS

En este estudio se utilizan sobrantes de acero inoxidable AISI SAE 304 y limadura de lata de aluminio, cuyas composiciones se muestran en la Tabla 1 respectivamente, para obtener un tamaño pequeño de partícula que facilite la descomposición de los metales.

Tabla 1. Composición del Acero Inoxidable AISI SAE 304 y lata de Aluminio

Elemento

C

P

S

Si

Cr

Mn

Fe

Cu

Mg

Al

AISI SAE
304

0.08

0.04

0.03

0.75

18.00

2.00

79.10

 

 

 

Lata de aluminio

 

 

 

0.80

0.35

0.15

0.70

0.40

1.20

96.40

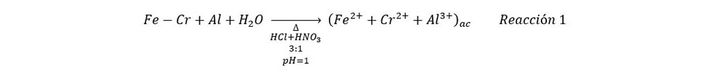
Para la disolución de los materiales metálicos, se seleccionó agua regia (HCl-HNO3) como disolvente debido a que es posible obtener iones metálicos de Fe, Cr y Al en presencia de estos ácidos y que a su vez no reaccionen para producir reacciones secundarias. Aunque la precipitación de los iones metálicos de Fe 2+ comienza desde pH 2.7 es necesario seguir incrementando a valores de pH superiores a 6, para que todos los iones logren precipitar. Por lo tanto fue utilizando un medio ácido, solución de agua regia con ácido clorhídrico 3:1 ácido nítrico y agua destilada 1:1, en seguida fueron agregados 3g de polvos de limadura de acero inoxidable y de lata de aluminio 1:1, en presencia de calor a 70°C y agitación de 700 rpm, proporcionado por una parrilla eléctrica, a un valor de pH 1 (Figura 1a), generando una disolución metálica (Figura 1b).

Figura 1. a) Agua regia y limadura de metales, b) Disolución, c) Co-precipitación

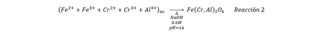
Posteriormente se realizó una coprecipitación, agregando lentamente 240 ml de solución de hidróxido de sodio 0.5M hasta obtener un pH 14, produciendo un precipitado de color café (Figura 1c) de óxidos de hierro, aluminio y cromo hidratados. Esto es acorde con el diagrama de la Figura 2 obtenido con el Programa libre HYDRA-MEDUSA, donde se muestra la presencia de los óxidos de hierro-aluminio y hierro-cromo, así como el hidróxido de hierro a partir aproximadamente de un valor de pH de 5.2.

Figura 2. Diagrama pH vs Fracción

Figura 2. Diagrama pH vs Fracción

El precipitado fue filtrado y lavado con agua destilada a 70°C para retirar iones Na+ e iones Cl- (Figura 3).

Figura 3. Producto de filtrado

Figura 4. Producto de Secado

Figura 5. a) Polvo obtenido de la calcinación. b) y c) El polvo presenta propiedades magnéticas

Después se procedió a secar el filtrado a 90°C durante 6 horas en un horno convencional (Figura 4). El producto no presentó propiedades magnéticas en esta etapa. Después, el material fue calcinado a 800°C durante 5 horas en una mufla (Figura 5 a). El polvo obtenido presentó propiedades magnéticas al acercarle un imán comercial (Figura 5 b y c). No se le realizaron mediciones de las propiedades magnéticas. Una muestra del producto obtenido de la calcinación se analizó por DRX en el equipo INEL EQUINOX 2000 con detector curvo mezcla de alta pureza de hetero Argón, Step size 0.03 con una radiación de Cobalto Co-Kα1.

RESULTADOS Y DISCUSIÓN

Para la obtención de iones metálicos de hierro, aluminio y cromo, por descomposición en agua regia, se muestra la Reacción 1.

Posteriormente se produjo un coprecipitado de color café de óxidos de hierro aluminio y óxidos de hierro cromo, además de sodio y cloro en forma de iones, a pH 14. En esta etapa del proceso no se descarta la posibilidad de tener hidróxidos de hierro, hidróxidos de aluminio e hidróxidos de cromo. (Reacción 2)

Después del filtrado, se eliminaron en lo posible los iones de sodio y cloruro con agua destilada, el secado del composite fue a 90°C y sintetizado por calcinación a 800°C, a esta temperatura se elimina toda humedad y compuestos que contengan C, H, O, N, S y P.

Se realizó un estudio cristalográfico por medio de Difracción de Rayos X de los polvos calcinados, el cual es mostrado en la Figura 6, a manera de comparación se marcan los patrones de difracción de la ficha PDF 00-003-0873 correspondiente al compuesto Fe(Cr, Al)2O4. Se pueden observar las coincidencias en cada una de las distancias interplanares asociadas a cada plano. Esto demuestra que se obtuvieron polvos composites de estequiometría Fe(Cr, Al)2O4 de estructura cristalina tipo espinela. Las señales de difracción se presentan alargadas y estrechas lo que sugiere que el material posee un tamaño de cristal grande, este hecho puede ser debido al tiempo que estuvieron los polvos dentro del horno (5 h, 800°C). Este resultado es comparable con el trabajo realizado por Wang et al. (2015), en el cual los autores muestran mediante análisis de Difracción de rayos X, el mismo patrón de difracción. Sin embargo en el trabajo presentan la presencia de Al2O3 con su patrón característico; sin embargo, no se descarta la posibilidad de tener este material como fase secundaria en los polvos obtenidos en este trabajo. Es posible que los óxidos de Al y Cr, ayuden a proteger al material de la oxidación, además el hierro le infiere las propiedades magnéticas que posee.

Tabla 1. Composición del Acero Inoxidable AISI SAE 304 y lata de Aluminio

CONCLUSIONS

Se logró obtener por primera vez, un polvo magnético Fe(Cr, Al)2O4 de estructura tipo espinela a partir de desechos metálicos de acero inoxidable y lata de aluminio. La metodología empleada para el desarrollo de esta investigación, fue disolución de metales en medio ácido, co-precipitación y calcinación a altas 800°C sintetizado, estos polvos presentan interesantes propiedades magnéticas cuyo potencial de aplicación esta en amplificadores electrónicos, transponders, inductores de potencia y supresores de interferencias en circuitos electrónicos.

AGRADECIMIENTOS

Los autores externan su gratitud a la Universidad Autónoma del Estado de Hidalgo por las facilidades otorgadas para el desarrollo de esta investigación.

BIBLIOGRAPHY .

Aluminio y Metales Unicornio. (s.f.). Obtenido de http://www.aluminiosymetalesunicornio.com.mx/6061.html

Aluminio, A. I. (s.f.).

Global Aluminium Recycling: A Cornerstone of Sustainable Development. (n.d.). Retrieved from http://www.world-aluminium.org/media/filer_public/2013/01/15/fl0000181.pdf

Inoxidable, C. N. (s.f.). Manual del Acero Inoxidable.

Loiacono, R., Vuanello, O., Solorza, B., Millán, M. E., & Tejada, J. (2016). Elminación de Metales Pesados de efluentes industriales por método electroquímico. San Juan, San Juan, Puerto Rico.

López, S. F., & Ayala, C. F. (1995). Contaminación y Depuración de Suelos. Madrid, España.

Manahan, S. (1991). Enviromental Chemistry. Michigan: Lewis Publishers.

Marulanda, J. L., Castañeda, S. I., & Pérez , F. J. (2013). Estudio de microestructura y composición de la oxidación en vapor a 700 y 750°C de los aceros austeníticos AISI 304, 316 y 317. Revista Facultad de Ingeniería Universidad de Antioquia.

Palacios, S. L. (2004). Métodos de síntesis de nuevos materiales. Facultad de Ingeniería, 51-61.

Sanchez, A. (07 de Febrero de 2014). México recolecta latas y otros las aprovechan. El Financiero.

Wang, L., Chen, X., Yan , D., Yang, Y., & Chu, Z. (2015). Structure and properties of nanostructured Fe(AlCr)2O4–Cr–(AlCr)2O3–Fe composite coating prepared by plasma spraying. Ceramics International, 9801-9805



[a] Estudiante de Doctorado en Ciencias de los Materiales de la Universidad Autónoma del Estado de Hidalgo. Ingeniera Química, por el Instituto Tecnológico de Pachuca.

[b] Estudiante de Doctorado en Ciencias de los Materiales de la Universidad Autónoma del Estado de Hidalgo. Ingeniero Industrial, por la Universidad Autónoma del Estado de Hidalgo.

[c] Profesor Investigador Titular de Tiempo Completo del Área Académica de Ciencias de la Tierra y Materiales de la Universidad Autónoma del Estado de Hidalgo. Doctor en Ciencias e Ingeniería de los Materiales por la Université Paul Sabatier.

[d] Profesor Investigador Titular de Tiempo Completo del Área Académica de Ciencias de la Tierra y Materiales de la Universidad Autónoma del Estado de Hidalgo. Candidato a Doctor en Ciencias e Ingeniería de los Materiales, por la Universidad de Sheffield.


Share in: